紫外可見分光光度計測定紡織品的紫外防護系數

發表時間:2021-05-08 14:23作者:儀工科技


點擊上面“藍字”關注我們









紡織品的紫外防護系數



關鍵詞

紫外可見分光光度計 , 紡織品, 抗紫外線性能


背景                             


隨著科學技術的進步、生活水平的提高,人類對生活必需品 -紡織品的質量要求也越來越高 , 更追求的是安全性和防護性,其中對于服裝材料的防紫外性能也越來越關注。當紫外線照射到織物上時,一部分被吸收,一部分穿透織物的纖維(包括從織物的空隙中透過),還有一部分被反射。透過紡織物的紫外線越多,對人體造成的傷害就越大,患皮膚癌的可能性也越大。

紡織物抗紫外線性能的評定方法通常采用分光光度計法。用紫外分光光度計作為輻射源,經單色器色散后的光束照射試樣,用積分球收集透過織物的各個方向上的輻射通量,得到紫外線透射比。

本文利用 Thermo Fisher Evolution220 紫外可見分光光度計和 ISA-220 積分球附件測出紡織物品的透射率,并依據 GB/T 18830-2009《紡織品防紫外線性能的評定》計算出紫外線防護系數。ISA-220 積分球附件是在同類價格儀器中性能最為突出和優秀的。它是一個由 60mm 直徑的 Spectralon (R) 球和10mm 硅光電二極管,以及專用的光學匯聚光學系統構成的組合,從而在每次測量的時候都能提供連續和準確的數據。采用了彈簧樣品夾設計,方便紡織布料的放置和取出。


實驗室儀器及測試環境  


采樣間隔:1 nm

狹縫寬度:5 nm

測定方式:透過率

波長范圍:290-400 nm


結果                         


1. 紡織品樣品透過率測定以空氣做為參比,利用 Evolution220紫外可見分光光度計和 ISA-220 積分球附件對 3 個樣品進行了透過率測試,譜圖如圖 1 所示,透過率結果見表 1

1 3 個樣品的投射光譜圖

1 不同波長下 3 個紡織品樣品的透射率

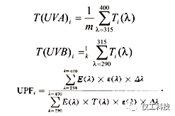
2. 樣品防紫外線性能的評定根據 GB/T18830-2009《紡織品防紫外線性能的評定》中的公式 1&2 計算出紫外線防護系數。

其中:
Eλ):日光光譜輻照度(見 GB/T 18830-2002 附錄 A),單位為瓦每平方納米(W?m-2?nm-1);
ε(λ):相對的紅斑效應(見 GB/T 18830-2002 附錄 A);
Tλ):試樣 i 在波長為 λ 時的光譜透射比;
λ:波長間隔,單位為納米(nm);
m k 315 400nm 之間和 290~315nm 之間各自的測定次數。
3 個樣品的防紫外線結果評價結果見表 2 所示。

2 紡織品樣品防紫外線結果

根據 GB/T18830-2002 要求,對于勻質材料以所測試樣中最低的 UPF 值作為該樣品的 UPF 值,次樣品最終 UPF 15,表示為 UPF 50

根據 GB/T18830-2002 評定要求,當樣品 UPF 30 T(UVA)AV 5% 時,可稱為“防紫外線產品”。因此該紡織品樣品不可以稱為防紫外線產品。


結論                         


利用 Thermo Fisher Evolution220 紫外可見分光光度計和 ISA-220 積分球附件可以方便地測定紡織品紫外區的透過率,并根據 GB/T18830-2002 計算出紡織品的紫外防護系數。賽默飛世爾科技有限公司(Thermo-Fisher)的紫外可見分光光度計產品完全能夠滿足上述檢測需要,對評定紡織品防紫外線性能具有很好的指導意義。同時可以為客戶提供方法建立的工作,以方便有此需求的客戶快速使用儀器,達到單位檢測要求。




點個在看你最好看


 聯系郵箱:egon@egon.cn
 聯系我們: 18661608990
登錄
登錄
其他賬號登錄:
留言
回到頂部