| 
                             | 
                        
                
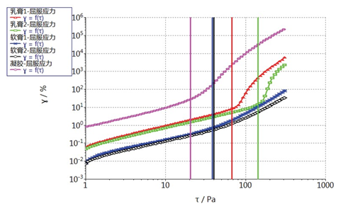
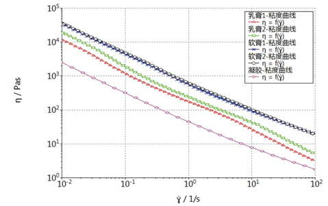
                            旋轉流變儀帶皮膚外用膏劑上的應用發表時間:2022-03-04 16:09作者:儀工科技 皮膚外用膏劑一般分為乳膏劑、軟膏劑和凝膠劑。乳膏是指藥物溶解或分散于乳狀液型基質中形成的均勻半固體劑型,可分為水包油型和油包水型;軟膏劑是 ![]() 指藥物與油脂性基質混合制成的均勻的半固體外用制劑;凝膠劑是 以高分子化合物和有機溶劑如丙二醇、聚乙二醇為基質配成的外用藥物 無論是何種膏劑,其藥物有效成分一般僅僅是涂藥量的1%以下, 且有效成分必須溶解在基質中,才能性質穩定,長期保存。使用時,膏劑從管中擠出,經剪切涂覆均勻黏著在皮膚上,藥物有效成分從基質中脫離出來,被角質層吸收。因為基質不同,涂抹的質感不同,藥物從基質中脫離出來的難易程度也不同,造成皮膚對藥物有效成分的吸收率產生明顯差異。膏劑的成分、含量、分散狀態、液滴大小及分布等都會對最終產品的擠出狀態、涂抹質感和吸收效率等產生影響。我們有必要對其流變性質進行表征,為產品的質量控制、配方研發、混合工藝等提供流變學上的指導。 旋轉流變儀可以對皮膚外用膏劑進行流動曲線、屈服應力、線性粘彈性、觸變性、蠕變試驗等進行測試。測試符合《皮膚外用化學仿制藥研究技術指導原則(試行)》中規定的流變測試要求,從而為配方研發人員、工藝開發人員提供產品流變性質上的參考。 實驗過程 1、流動曲線 皮膚外用膏劑一般是剪切變稀形塑性流體。利用旋轉流變儀可以得到樣品剪切速率由低到高的流動曲線,來模擬膏劑從管內擠出至涂抹的使用情況,在低、高剪切速率下的粘度值,反映了樣品從高粘稠狀態,經剪切涂覆為低粘度狀態的過程。如圖一和表一,對比5種膏劑的粘度可知,凝膠的粘度最小,不同工藝的乳膏1小于乳膏2的粘度值,而軟膏1僅在低剪切下小于軟膏2的粘度值。不同工藝可能會對藥物的分散狀態,基質的液滴尺寸等造成差異,從而影響其粘度。 ![]() 圖一:5種膏劑的粘度曲線 ![]() 表一:5種膏劑的低、高剪切速率下的粘度 2、屈服應力 皮膚外用膏劑一般需要一定的力才能從外管中擠出,這是因為樣品具有屈服應力。屈服應力指樣品流動需要的最小的剪切力。屈服應力的存在,確保了樣品能夠維持一定的外觀形狀,不易從外管中自然流出。屈服應力不僅影響擠出的手感,甚至影響藥物有效成分從基質中析出的難易程度。 屈服應力可通過應力-應變曲線測得,曲線的斜率突變點代表樣品流動的開始。HAAKE Rheowin軟件可自動計算得到屈服值。屈服值越大,擠出所需的力越大。如圖二和表二,雖然乳膏的粘度一般小于軟膏,但乳膏的屈服力明顯高于軟膏。這是因為軟膏結構較弱,易受剪切破壞而流動。 ![]() 圖二:5種膏劑的屈服應力曲線 ![]() 表二:5種膏劑的屈服應力值 3、線性粘彈性 皮膚外用膏劑除了粘性流動之外,在一定條件下還會表現為彈性變形特性,即存在著粘彈性。利用流變儀的動態振蕩模式,可以得到不同頻率下樣品的線性粘彈性模量。如圖三、四,可以發現乳膏的差異主要表現在彈性模量上,乳膏2的彈性模量明顯大于乳膏1,這也間接造成了乳膏2的粘度大于乳膏1。一般來說,藥物有效成分的含量、分散狀態、液滴尺寸的大小與分布會對樣品的彈性模量造成直接影響。了解不同工藝或配方對產品粘彈性模量的影響差異,就能為產品質控或配方研發提供方向。 ![]() 圖三:5種膏劑的彈性模量 ![]() 圖四:5種膏劑的粘性模量 4、觸變性 材料的觸變性指受到剪切時粘度變小,停止剪切時粘度又增加或受到剪切時粘度變大,停止剪切時粘度又變小的一“觸”即“變”的性質。皮膚外用膏劑的觸變性表現為,涂抹前膏劑呈現高粘稠半固體狀態,一般能夠維持一定的形狀;涂抹剪切后粘度降低,在皮膚上流平;涂抹結束后粘度又恢復,從而粘附在皮膚上不至于從皮膚上滴落。 恢復的時間有最佳的區間,時間過快膏劑沒法充分流平,太慢膏劑容易從皮膚上滴落。利用旋轉流變儀的三段振蕩模式,我們可以模擬這個觸變過程。如圖五,第一、三段記錄樣品涂抹前和涂抹后粘度隨時間的變化,第二段施加大應力(或形變),模擬樣品的涂抹過程。HAAE Rheowin軟件可自動計算第三段(涂抹后)粘度恢復的情況(表三)。 ![]() 圖五:5種膏劑的三段結構恢復 
 表三:5種膏劑在一定時間后粘度恢復比例 5、蠕變試驗 通過旋轉流變儀對于膏劑的測試,可以獲得蠕變曲線,如圖六。蠕變曲線可以反饋樣品形變的難易,涂抹均勻性等,通過曲線可以準確獲得蠕變柔量J、彈性應變、可恢復應變、不可恢復應變等流變學參數,其中柔量為模量的倒數,柔量越小,模量越大,樣品越不易發生形變等。為研究膏劑的粘彈性特征提供了豐富的依據。 ![]() 圖六:某種膏劑的蠕變試驗 綜上 旋轉流變儀可對皮膚外用膏劑的流變特性進行系統的研究。不僅為產品的質控保駕護航,還為產品的配方優化與工藝改進提供方向。 
 聲明:此篇為儀工科技原創文章,轉載請標明出處鏈接:http://www.nlhg666.com/sys-nd/50.html 
下一篇流變儀在透皮貼劑中應用 
 |